Introduction
In today’s age of consumerism, marketing plays an important role of creating awareness, driving consumer engagement and growing businesses. Leveraging the right targeting techniques has become the most crucial factor for building and sustaining sales. From a retailer’s perspective, one of the key challenges is to identify market segments that hold potential customers for their products.
Consider this: Over the past decade, retailers have increased their marketing expenditure by more than 15 percent. However, this has not translated into proportional increase in business in terms of new customer acquisition or sales. For example, Mc Donald’s – one of world's leading food service retailers – has increased their marketing expense by more than 15 percent in the last six years; however, the overall revenue grew merely by about 12 percent. One of the key reasons for this is that marketing campaigns are not targeted to the right set of audience, taking into account their buying behavior – which in turn leads to lower than expected response rates.
An efficient audience targeting will enable retailers to identify various segments with their influential decision parameters and design the right strategy to maximize response rate for a given a campaign budget. But how do we analyze millions of behaviors and their billions of transactions distributed across multiple channels, to figure out the audience base who are most likely to respond to a campaign? This is the biggest task when it comes to targeted marketing.
An advance in computing has swept away media distribution barriers, releasing a Pandora's box of new content. The resulting fragmentation has shattered the notion of the mass-media consumer, forcing marketers to use hard quantitative data and analytical techniques to find and reach their audience.
Targeted Campaign by Uplift Model
The benefits of targeted marketing are two-fold: one, the total cost of marketing and acquisition decreases, and two, a well targeted campaign increases the likelihood amongst target audience to respond. This leads to enhanced response rates and Return on Marketing Investment (ROMI).
To effectively target the right set of audience, it is imperative to know the different segments. Broadly, on the basis of campaign response behavior, target audience can be segmented into four exclusive segments:
Analytically, there are different techniques available to target customers in a campaign scenario, but the Uplift Model is one of the most efficient and graceful ways to target customers by addressing the needs of different segments.
Uplift Model approach:
Following Uplift Modelling may be a more suitable approach for campaign design. The base population (includes all four segments of customers) is divided into two groups: Test (who are administered the targeted campaign) and Control (who are not).
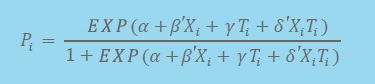
1. The propensity of each customer is calculated using the algorithm below, separately for test and control
Where
2. Linear regression is used using the same set of variables to predict expected revenue/profit (separately for test and control)
4. Selection: Customers are rank-ordered on incremental revenue/profit and top demi-deciles are selected for model performance and subsequent targeting.
The incremental effect of the campaign is calculated for each demi-decile (in intervals of 5% of customers each) and an illustrative schematic is demonstrated below.
Benefit of the model:
A normal targeting on buyer propensity usually targets the top decile and measures the performance with test control scenario. Following scenario explains the incremental benefits of the current technique.
Let us assume the following three scenarios:
Uplift Model can identify all these similar profitable, non-profitable and neutral segments within the customer base, which normal targeting model will fail to distinguish effectively. Uplift Model-based targeting framework is a powerful tool that enables retailers to identify profitable target segments for customer-centric activities, integrating and analyzing various customer data to realize better return on investment for marketing expenditure.
Targeting strategy
Following are the guidelines that can be useful to capture some of the business applicability for response and Uplift Modeling:
To summarize the benefit estimation framework for Uplift Model-based targeting in simple 4-5 steps.
Start with dividing the base population in two sets of data – Test and Control – with their buyers in the campaign advertised division.
Step 1 - Build a propensity model for Test and Control, separately
Step 2 - Build a sales/margin model for Test and Control, separately
Step 3 - Score the population based on these four models
Step 4 - Define incremental benefit as: (Test Propensity model Probability * Test Sales Model Expected) - (Control Propensity model Probability * Control Sales Model Expected)
Based on the magnitude of this value, we can decile the people and see the incremental effect.