August | 2021
Modern vehicles predominantly run on fossil fuels, the reserves for which are fast depleting. As a result, electric vehicles that only require battery power are quickly emerging as an eco-friendly alternative. According to a report published by Fortune Business Insights, the electric vehicle battery market size is projected to reach $82.20 billion by 2026, exhibiting a CAGR of 6.6% and a significant leap from its $71.83 billion valuation in 2018.
Other drivers behind the shift to electric vehicles include increased emission regulations, EV technology maturity, and declining prices for the electric vehicle battery, among others. Soon, electric vehicle battery charging will become the new “fuel” for the automotive industry, and monitoring and regulating battery health will become vital.
Measuring EV Battery Health: The Challenge
With electric vehicles rapidly permeating the automotive sector, monitoring EV battery health has become paramount. Electric vehicle battery parameters and status must be continuously reported to vehicle owners, as the EV battery charge status is equivalent to the fuel gauge for an internal combustion engine. Drivers need this information to plan their routes and/or visits to the nearest charging station for EV battery recharging. However, measuring these parameters like state of charge (SoC), state of health (SoH), and remaining useful life (RUL) isn’t straightforward. The batteries in electric vehicles are subjected to multiple charging/discharging cycles and exposed to varying weather conditions. These issues can impact the performance of an electric vehicle, causing unreliable estimates on battery health parameters.
Electric Vehicle Battery Health Prediction: A Solution
One solution for analyzing battery parameters is gaining traction. It uses a data-driven approach that leverages advanced AI/ML techniques and can effectively measure battery health parameters by capturing all variables of electric vehicle battery use over time (for example: environmental effects, vehicle load, and driving pattern). By leveraging this battery usage data, more accurate battery health forecasting estimates can be achieved.
Wipro’s Data Science practice, having enabled AI/ML-based predictive asset maintenance and other asset-failure prediction solutions across industries, has developed an electric vehicle battery health prediction model. This ML-based solution predicts electric vehicle battery health parameters with 96-97% accuracy. The solution is available via open source on the IBM Watson platform and uses the advanced capabilities of Watson AutoML for rapid prototyping.
How Does it Work?
Figure 1: Solution Overview
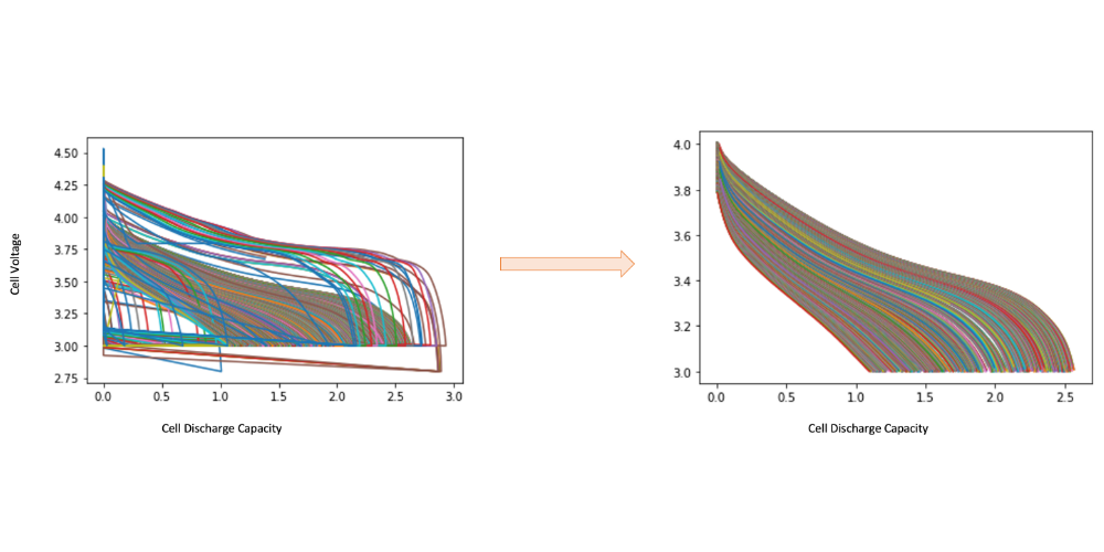
Data Preprocessing: As shown in Figure 1, the electric vehicle battery pack has close to 15 cells and allows approximately 1,100 charging cycles. The solution uses the data of one cell with all charging cycles to train the AI/ML model, which is later trained and tested on the remaining cells individually. Multiple advanced statistical techniques (e.g. ZScore and Hampel Filter) are then applied to clean the training data and remove outliers as shown in Figure 2.
Figure 2: Data preprocessing to remove outliners that cause noise in results
Model Development: The solution leverages automated machine learning (AutoML), a process of automating manual tasks that data scientists must complete as they build and train ML models. These tasks include feature engineering and selection, choosing the type of machine learning algorithm, building an analytical model based on the algorithm, hyper-parameter optimization, training the model on tested data sets, and running the model to generate scores and findings. AutoML helps data scientists build predictive models without having deep ML model expertise. It also frees data scientists from the routine tasks involved in building an ML pipeline, allowing them to focus on extracting the insights needed to solve important business problems.
Figure 3: AutoML System Architecture
The AutoML system includes a meta-learning component that leverages cleaned historical information for training models. The ML framework is responsible for automatically choosing data processor and feature preprocessor algorithms and selecting the models. In deep learning (DL), this model selection is typically replaced by Neural Architecture Search (NAS) that performs additional post-processing by combining multiple models together, as shown in Figure 3.
Model Deployment: On the platform, a deployment space acts as a registry to manage the assets associated with a model deployment. The deployment assets may include a serialized model, scoring script, schema of the inference dataset, and more. This model can be accessed via REST endpoint to send the test date and get the model predictions.
Leveraging the AutoML approach for solution development results in reduced time and effort. The system takes care of data preprocessing, partitioning, feature engineering, hyper-parameter tuning and more, running multiple ML algorithms in auto-pilot mode to churn the best fit model and deliver the most optimal performance while predicting EV battery health with 96-97% accuracy.
Leveraging the Solution for More Than EV Battery Health Prediction
While battery health prediction is a horizontal capability, this solution can be augmented with other technologies and be leveraged for other uses like customer support, inventory optimization, and product quality.
a) Enhanced Customer Service
For instance, the solution can predict electric vehicle battery health and display the status on the vehicle’s dashboard. If the battery needs servicing, this information can be easily integrated with geographic information systems to help the driver locate the nearest charging station or service center. If the driver fails to immediately address an alert, s/he is advised on the next best action using a voice-driven chatbot (via mobile phone or head unit) to avoid the hassle of delayed support. If the DIY approach fails via chat support, the chatbot could then spot the nearest service center and initiate human assistance by creating a ticket in the system. The dealer could then look at the ticket details for vehicle location, spare parts required, etc. and automatically dispatch a service engineer to remedy the breakdown issue.
b) Inventory Optimization
Orchestrated from the central server, it is possible to send notifications/alerts to EV dealers such as the predicted/reported electric vehicle battery health issues for EVs within the dealer’s geographic area. Based on these alerts, the dealer can anticipate service volumes and optimize its EV parts inventory accordingly.
c) Product Quality Improvement
By conducting a periodic review of all predicted malfunctions, the solution can decipher defect trends in electric vehicle battery health and performance and provide meaningful inputs for battery health and quality improvements at the production level. R&D teams can inspect the defect trends and determine the root causes, over time improving the overall quality of the electric vehicle battery.
The adoption of AI/ML for predicting EV battery health is gathering momentum. With a data-driven model that addresses the entire EV battery lifecycle across different charging and loading cycles, battery health forecasting can be much more reliable. Platforms leveraging AutoML help fast-track development cycles by automating the routine data-science activities without compromising prediction accuracy. Wipro’s EV battery health prediction solution can be further leveraged to realize multiple uses including customer experience, dealer inventory management, product quality improvement, and more.
Manish Okhade
Practice Lead – Predictive Asset Maintenance, AI Solutions, Wipro Limited
Manish Okhade has more than two decades of industry experience in different domains e.g. ER&D, Digital and Artificial Intelligence. Manish has been involved with development of Wipro’s AI platform Holmes since inception and developed multiple AI/ML use cases across the industries. Manish is presently leading the Predictive Asset Maintenance (PAM) Practice in Wipro’s AI/ML solutions group. His current focus areas are building accelerators, thought leadership and forging partnerships with niche startups in the PAM domain.